
NuSTAR宇宙船とNICER機器を使用して、天文学者の国際チームは、新しい加速ミリ秒X線パルサーを発見しました。 IGR J17591-2342と呼ばれる新しく発見されたオブジェクトは、既知の蓄積ミリ秒X線パルサーのまだ短いリストへの最新の追加です。 これは、8月30日にarXivプレプリントサーバーに投稿されたドキュメントで報告されています。
X線パルサーは、X線強度の激しい周期的変化を示します。これは1秒未満の場合があります。 ミリ秒X線パルサー(AMXP)の付着は、X線パルサーの一種であり、低質量のコンパニオンを持つ星から付着ディスクを介してゆっくりと回転する中性子星への長時間の質量移動によって、短時間の回転が発生します。 天文学者は、AMXPを、融合バーストプロセスの知識を向上させるために重要となる可能性のある一種の天体物理学的実験室と見なしています。
現在までに検出されたAMXPは21個のみで、回転周期は1.7〜9.5ミリ秒の範囲です。 これらの特定のオブジェクトのリストを拡張するために、科学界は、NASA Astrophysical Telescope(NuSTAR)などの宇宙観測所を使用してそのようなソースをまだ積極的に探しています。
最近、イタリアのカリアリ大学のAndrea Sannaが率いる研究者チームが、NuSTARを使用して新しいAMXPを特定しました。 IGR J17591-2342という名前のソースは、元々X線トランジェントとして分類され、2018年8月10日に銀河中心部をスキャンするために、欧州宇宙局の宇宙物理ガンマ線研究国際研究所(INTEGRAL)に提出されました。 チームはNuSTARを使用してこのソースを観察し、このオブジェクトの性質に関するデータを明らかにしました。 パルサーの追加の観測は、国際宇宙ステーション(ISS)に搭載されたNeutron Star Inner Composition Explorer(NICER)を使用して実行されました。
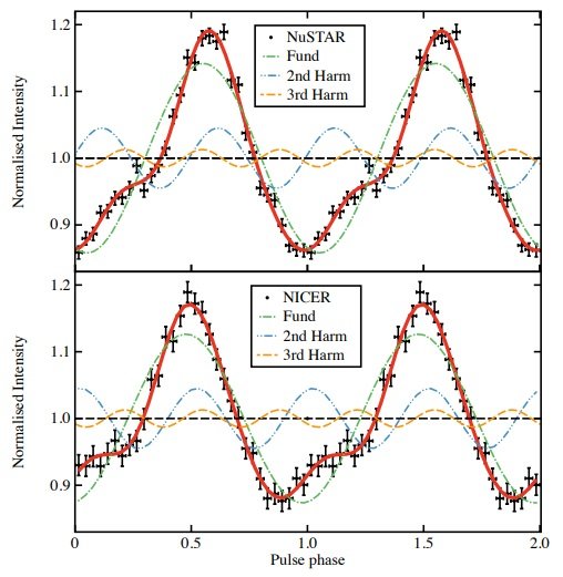
「この記事では、パルサーとバイナリエフェメリスの回転周期を示すNuSTARとNICERの観測のタイミングのコヒーレント分析について説明します」と研究者らは記事で報告しています。
NuSTARとNICERのデータでは、チームは、15%の運動量フラクションバーストの開始から約25日後に取得された約527.4 Hz(1.9ミリ秒)のコヒーレントX線パルスを発見しました。

文書によると、IGRJ17591-2342の軌道周期は約8.8時間です。 中性子星の質量は約1.4太陽質量であると計算されており、コンパニオンの最小質量はおそらく0.42太陽質量です。
さらに、天文学者は、IGR J17591-2342が、地球から約28,000光年離れたミルキーウェイ銀河の中心近くに位置していることを指摘しています。 推定される付着率は、年間約5億2000万太陽質量であることがわかった。 IGR J17591-2342は、まだ22番目に知られているAMXPです。 記事の著者は、彼らの発見がこれらのオブジェクトの人口統計を豊かにすることを強調しました。これらは星の進化の後の段階を理解するために必要です。
